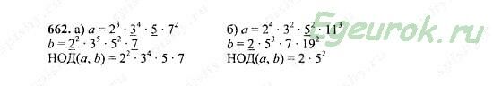
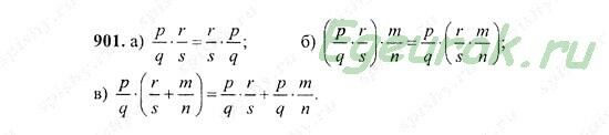
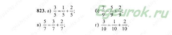
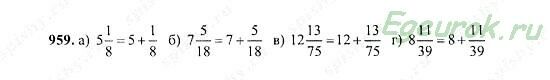
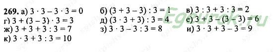
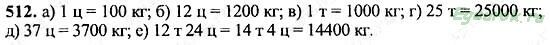
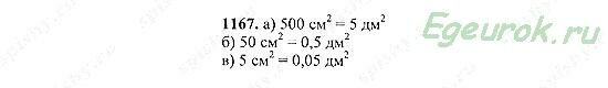
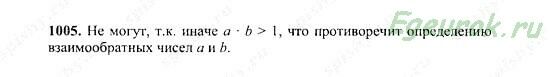
Решебник, ГДЗ по математике 5 класс Никольский, Потапов, Решетников, Шевкин

Спишите домашнюю работу по математике за 5 класс к учебнику Никольского. В онлайн решебнике представлены все номера №1-№1194. Удобная таблица позволит быстро искать нужные задачи и списать нужный ответ даже с телефона (планшета).



Вернуться на главную страницу сайта vpr-klass.com

Решебник и ГДЗ по математике 5 класс - Никольский, Потапов, Решетников, Шевкин - учебник 2012, 2013, 2014 год (ФГОС).
Чтобы смотреть готовые ответы, выберите нужный номер задания - снизу появится решение (ждать 2-3 секунды).


гдз по математике 5 класс Никольский

Щелкните по номеру - решение появится в течение 2-3 секунд.


Смотреть ГДЗ на рабочую тетрадь.
Вернуться на главную страницу сайта vpr-klass.com