Образовательный сайт vpr-klass.com (впр-класс.ком) - готовые решения задач!
У нас вы найдете много учебных материалов: решебники, ГДЗ, тестовые задания, видео уроки, генераторы задач, решения упражнений гиа и егэ.
впр-класс.ком

Расскажи друзьям

Ищи САЙТ в Яндексе и Google по слову:
vpr-klass или впр-класс


Сохрани сайт в закладки - нажми Ctrl+D

17-11-2013, 14:13

Решение заданий КДР по математике 9 класс - ноябрь 2013 год


Версия для печати

Решение первого варианта из КДР по математике за 9 класс - ноябрь 2013 год.

Ознакомьтесь с решениями и ответами 20 задач из краевой диагностической работы для учащихся 9 класса. Благодаря разбору заданий учащиеся смогут понять как решаются задачи и лучше подготовиться к предстоящему экзамену ГИА по математике 2014 года.

решение задания №2 кдр по математике 9 класс
решение задания №3 кдр по математике 9 класс
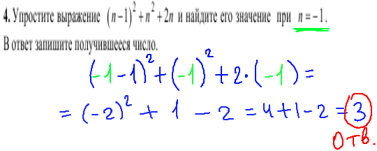
решение задания №4 кдр по математике 9 класс
решение задания №5 кдр по математике 9 класс
решение задания №6 кдр по математике 9 класс решение задания №7 кдр по математике 9 класс
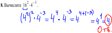
решение задания №8 кдр по математике 9 класс
решение задания №9 кдр по математике 9 класс
решение задания №10 кдр по математике 9 класс
решение задачи №11 кдр по математике 9 класс решение задачи №12 кдр по математике 9 класс
решение задачи №13 кдр по математике 9 класс
решение задачи №14 кдр по математике 9 класс
решение задачи №15 кдр по математике 9 класс решение задачи №16 кдр по математике 9 класс
решение задачи №17 кдр по математике 9 класс
решение задачи №18 кдр по математике 9 класс
решение задачи №19 кдр по математике 9 класс
решение задачи №20 кдр по математике 9 класс




ПОХОЖИЕ УЧЕБНЫЕ МАТЕРИАЛЫ:

  • Решение варианта кдр по математике 10 класс - 29.01.14.
  • Решение варианта кдр по математике 9 класс - 29.01.14
  • Варианты и ответы КДР по математике 9 класс - 29 января 2014
  • Варианты и ответы КДР по математике 10 класс - 27 ноября 2013 год
  • Скачать работы КДР по математике (с ответами), 9 класс - 17 апреля 2013 год.
  • Аннотация КДР по математике 10 класс, - Апрель 2013 год.
  • Решение 1 варианта КДР по математике, 9 класс - март 2013 год.
  • Аннотация КДР по математике 10 класс, - 20 февраля 2013 год.
  • Аннотация к КДР по математике 9 класс, февраль 2013.
  • Решение заданий КДР по математике 10 класс - ноябрь 2011 года.
  • Категория: blog, Варианты КДР по математике 9 класс | Просмотров: 39254 | Добавил: dimention | Теги:

    

    Оставь свой комментарий!
    
    Учебники смотреть онлайн

    Математика
    Информатика
    Химия
    Copyright © 2017 vpr-klass.com | Если какой-либо из материалов нарушает ваши авторские права, просим немедленно связаться с Администрацией!!! Наш e-mail: admin@vpr-klass.com | Правообладателям | sitemap.xml