Образовательный сайт vpr-klass.com (впр-класс.ком) - готовые решения задач!
У нас вы найдете много учебных материалов: решебники, ГДЗ, тестовые задания, видео уроки, генераторы задач, решения упражнений гиа и егэ.
впр-класс.ком

Расскажи друзьям

Ищи САЙТ в Яндексе и Google по слову:
vpr-klass или впр-класс


Сохрани сайт в закладки - нажми Ctrl+D

22-12-2013, 07:13

Подготовка к ЕГЭ по математике 2014 - Решение задачи b7


Версия для печати

Подготовка к ЕГЭ по математике 2014 - Решение задачи b7.

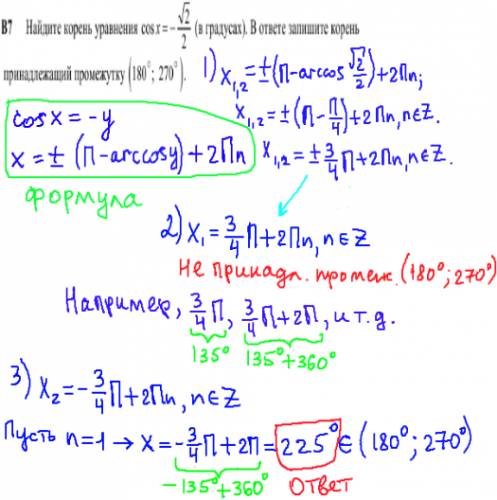
Рассмотрим решение тригонометрического уравнения с косинусом вида cosx=-y. Здесь мы вспоминаем формулу и по ней находим x=±(?-arccos(?2/2))+2Пn; т.е. x=±(?-п/4)+2Пn или x=±(3/4)П+2Пn. Далее подставляем вместо n целые числа: -1, 0, 1 и находим что при n=1 в уравнении x=(3/4)П+2Пn получится x=225 градусов. Это значение как раз входит в промежуток (180°;270°).


Скачать решение.




ПОХОЖИЕ УЧЕБНЫЕ МАТЕРИАЛЫ:

  • ЕГЭ по математике c1
  • ЕГЭ по математике 2014 - задание с1
  • ЕГЭ по математике 2014 - задание в12
  • Подготовка к ЕГЭ по математике 2014 - Решение задачи b5
  • Подготовка к ЕГЭ по математике 2014 - Решение задачи b2
  • ЕГЭ по математике 2014: тригонометрическое уравнение, задание С1
  • Математика 2014 ЕГЭ: решение задания C1, видео
  • ЕГЭ 2014 по математике - Значение производной функции
  • ЕГЭ 2014 по математике - Площадь осевого сечения цилиндра
  • Арифметическая и геометрическая прогрессии, задачи
  • Категория: Учебные материалы, ЕГЭ по математике 2017 - решение заданий, подготов | Просмотров: 5190 | Добавил: dimention | Теги:

    

    Оставь свой комментарий!
    
    Учебники смотреть онлайн

    Математика
    Информатика
    Химия
    Copyright © 2017 vpr-klass.com | Если какой-либо из материалов нарушает ваши авторские права, просим немедленно связаться с Администрацией!!! Наш e-mail: admin@vpr-klass.com | Правообладателям | sitemap.xml