Образовательный сайт vpr-klass.com (впр-класс.ком) - готовые решения задач!
У нас вы найдете много учебных материалов: решебники, ГДЗ, тестовые задания, видео уроки, генераторы задач, решения упражнений гиа и егэ.
впр-класс.ком

Расскажи друзьям

Ищи САЙТ в Яндексе и Google по слову:
vpr-klass или впр-класс


Сохрани сайт в закладки - нажми Ctrl+D

21-03-2014, 13:52

ЕГЭ по математике b14


Версия для печати

ЕГЭ по математике b14.

Решение задачи егэ b14.
ЕГЭ по математике - решение b14

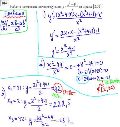
Задание под номером b14 по математике берётся из КИМов ЕГЭ, которые писали в 2013 году - в Центре. Найдем вначале производную функции y=(x2+441)/x, получим: y'=(x2-441)/x2. Приравняем её к нулю, т.е. (x2-441)/x2=0 и найдем x. В результате нам подойдёт x=21, т.к. оно принадлежит отрезку [2;32]. Теперь подставим поочерёдно значения x в нашу функцию, при x=21, y будет равен 42; при x=2, y будет равен 222,5; при x=32, y будет равен 45,7.... Таким образом, наименьшим значением функции будет число 42. Ответ: 42.


Скачать решение.


Категория: Учебные материалы, ЕГЭ по математике 2017 - решение заданий, подготов | Просмотров: 8938 | Добавил: dimention | Теги:



Оставь свой комментарий!

Учебники смотреть онлайн

Математика
Информатика
Химия
Copyright © 2017 vpr-klass.com | Если какой-либо из материалов нарушает ваши авторские права, просим немедленно связаться с Администрацией!!! Наш e-mail: admin@vpr-klass.com | Правообладателям | sitemap.xml