Расскажи друзьям
Ищи САЙТ в Яндексе и Google по слову:vpr-klass или впр-класс
Сохрани сайт в закладки - нажми Ctrl+D
6-02-2013, 20:12
Онлайн тест ГИА по математике №1 (с решениями): Модуль Алгебра.
Версия для печати
В данном онлайн тесте ГИА по математике содержится 10 вопросов из модуля "Алгебра" , которые выводятся в случайном порядке. Кроме того, варианты ответов тоже - в случайном порядке. На каждый вопрос теста вы можете посмотреть решение. После правильных ответов на все вопросы теста по математике , сверху вы увидите количество верных ответов с 1-ой попытки. Надеюсь данный онлайн тест по математике за 9 класс , поможет подготовиться к экзамену ГИА 2013 года.
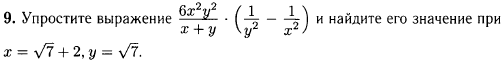
Выберите верный вариант ответа!
Все вопросы
Пред.вопрос
След.вопрос
? 2,8 ? 28 ? 38 ? 40
? b+7<0 ? 10-b<0 ? b-2>0 ? b-4>0
Укажите наибольшее из чисел:
Посмотреть решение. ? ? ? ?
Решите уравнение: 12x-5=3+5(6x-7)
Посмотреть решение. ? 1,5 ? 15 ? -1,5 ? 18
? 12 ? 1,2 ? 120 ? -12
? A-1; Б-4; В-3. ? A-1; Б-2; В-3. ? A-1; Б-4; В-2. ? A-2; Б-4; В-3.
? (2;-2) ? (-2;-1) ? (-2;2) ? (-1;1)
? (-1,5;1,5) ? [-1,5;1,5] ? (-бескончечность;-1,5] U [1,5;+бесконечность) ? [1,5;+бесконечность)
? 2 ? -2 ? 1 ? 3
Категория: Учебные материалы , Тесты ГИА по математике 2017, 9 класс - онлайн |
Просмотров: 15304 |
Добавил: dimention
| Теги:
Оставь свой комментарий!
Интересно
ГИА (ОГЭ) по математике
Много разных решений
Тесты ГИА онлайн.
Видео - ГИА 2013: геометрия
Видео - ГИА 2012
Видео - Демо-вариант 2012.
Решение Демо-варианта 2013 года (2014 года).
Задача №1, Вычислить.
Задача №2, Числа и прямая.
Задача №3, Сравнение чисел.
Задача №4, Уравнения.
Задача №5, Графики и формулы.
Задача №6, Прогрессии.
Задача №7, Упростить выражение.
Задача №8, Неравенства, системы неравенств.
Задача №9, Задания по геометрии.
Генератор вариантов ГИА 2014
ЕГЭ по математике
Много разных решений.
Онлайн тесты.
Видео уроки ЕГЭ по математике.
Генератор вариантов ЕГЭ 2014
Книги, справочники
Решение демо варианта ЕГЭ по математике 2014
Задания B1, задача.
Задания B2, диаграммы.
Задания B5, уравнения.
Задания B8, производная.
Задания B10, вероятность.
ОГЭ по информатике
Видео уроки