Образовательный сайт vpr-klass.com (впр-класс.ком) - готовые решения задач!
У нас вы найдете много учебных материалов: решебники, ГДЗ, тестовые задания, видео уроки, генераторы задач, решения упражнений гиа и егэ.
впр-класс.ком

Расскажи друзьям

Ищи САЙТ в Яндексе и Google по слову:
vpr-klass или впр-класс


Сохрани сайт в закладки - нажми Ctrl+D

20-07-2012, 13:17

Тест гиа по математике, вариант 3.


Версия для печати

  Тест гиа 9 класс по математике, вариант 3.
Обозначения:

Бесконечность обозначаем: +беск или -беск; знак объединения - англ.буквой U. В задании на сопоставление с буквами и А,Б,В ответ записывайте так: например, 321 (т.е. А-3;Б-2;В-1). Корень квадратный обозначаем sqrt, например, это
sqrt(5). Знак деления /, знак умножения *, знак возведения в степень ^ ,например, x5 это x^5.


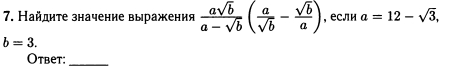
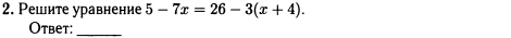
Введите номера ответов:



Введите номер ответа:












































Категория: Учебные материалы, Тесты ГИА по математике 2017, 9 класс - онлайн | Просмотров: 9665 | Добавил: dimention | Теги:



Оставь свой комментарий!

Учебники смотреть онлайн

Математика
Информатика
Химия
Copyright © 2017 vpr-klass.com | Если какой-либо из материалов нарушает ваши авторские права, просим немедленно связаться с Администрацией!!! Наш e-mail: admin@vpr-klass.com | Правообладателям | sitemap.xml