Загрузка. Пожалуйста, подождите...
Образовательный сайт vpr-klass.com (впр-класс.ком) - готовые решения задач!
У нас вы найдете много учебных материалов: решебники, ГДЗ, тестовые задания, видео уроки, генераторы задач, решения упражнений гиа и егэ.
Решебники, ГДЗ
Математика
Русский язык
Английский язык
Физика
История
Химия
Обществознание
Биология/Природовед.
География
Информатика и ИКТ
Окружающий мир
Чтение/Литература
Немецкий язык
ОБЖ
Расскажи друзьям
Ищи САЙТ в Яндексе и Google по слову:
vpr-klass
или
впр-класс
Сохрани сайт в закладки - нажми Ctrl+D
Презентации
Детские презентации
Презентации по математике
Презентации по астрономии
Демо-варианты:
ЕГЭ
Математика
Русский язык
Физика
Обществознание
Английский язык
Информатика
История
Биология
Химия
Литература
География
ГИА (ОГЭ)
Математика
Русский язык
Другие предметы - ГИА
Физика ГИА
Русский язык ГИА
Биология ГИА
История ГИА
География ГИА
Категория ->
Учебные материалы
,
Тесты ГИА по математике 2017, 9 класс - онлайн
30-03-2013, 19:45
Тест ГИА, 8 заданий, модуль Алгебра.
Версия для печати
Пройдите наш очередной
онлайн тест ГИА по математике 2013
, по
модулю "Алгебра"
, где вам будет дано 8 разных заданий.
Выберите верный вариант ответа!
Все вопросы
Пред.вопрос
След.вопрос
Найдите значение выражения: 0,9*3000*0,0003
Проверить
Подсказка
Показать ответ
На координатной прямой отмечены числа а и b (см. рис. 1).
Какое из следующих чисел наименьшее?
?
a+b
?
ab
?
b-a
?
a-b
Расположите в порядке возрастания числа 3v14; 5v5; 2v31.
?
2v31; 3v14; 5v5
?
3v14; 2v31; 5v5
?
2v31; 5v5; 3v14
?
5v5; 2v31; 3v14
Найдите корни уравнения
-5
0,25
5
3
-0,25
-2
Проверить
Установите соответствие между графиками функций (см. рис. 2) и формулами, которые их задают.
?
A-2; Б-3; B-4.
?
A-1; Б-3; B-4.
?
A-2; Б-3; B-1.
?
A-1; Б-2; B-4.
?
A-1; Б-2; B-3.
В арифметической прогрессии первый член равен -3, а сумма первых шести членов равна 12. Найдите третий член прогрессии.
Проверить
Подсказка
Показать ответ
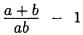
Упростить буквенное выражение
, а затем найти значение, если a=1/3, b=-1/4.
Проверить
Подсказка
Показать ответ
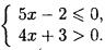
Решить систему неравенств:
На какой из координатных прямых (см. рис. 3) изображено множество её решений?
?
?
?
?
OK
Категория ->
Учебные материалы
,
Тесты ГИА по математике 2017, 9 класс - онлайн
ПОХОЖИЕ УЧЕБНЫЕ МАТЕРИАЛЫ:
Примеры по математике 4 класс - Деление на трёхзначное число
Задачи и примеры по математике 4 класс - Деление на трёхзначное число
Задачи и примеры по математике 4 класс на повторение
Примеры по математике 4 класс - Деление на двузначное число
Задачи по математике 4 класс - Деление многозначных чисел на однозначные
Примеры по математике 4 класс - Умножение чисел
Примеры по математике 4 класс - Уравнения
Контрольная работа по математике 4 класс - Единицы массы
Задачи по математике 4 класс - Таблица единиц площади
Задачи по математике 4 класс - Единицы длины
Категория:
Учебные материалы
,
Тесты ГИА по математике 2017, 9 класс - онлайн
| Просмотров: 21100 | Добавил:
dimention
| Теги:
Оставь свой комментарий!
Новости ГИА/ЕГЭ 2017
Последние новости ГИА и ЕГЭ 2017!!!
Сочинения
Сочинения по лит-ре
Демо-версии
ЕГЭ 2017
ГИА, ОГЭ 2017
ЕГЭ 2016
ГИА, ОГЭ 2016
ЕГЭ 2015
ГИА/ОГЭ 2015
Учебники смотреть онлайн
Математика
Информатика
Химия
Интересно
ГИА (ОГЭ) по математике
Много разных решений
Тесты ГИА онлайн.
Видео - ГИА 2013: геометрия
Видео - ГИА 2012
Видео - Демо-вариант 2012.
Решение Демо-варианта 2013 года (2014 года).
Задача №1, Вычислить.
Задача №2, Числа и прямая.
Задача №3, Сравнение чисел.
Задача №4, Уравнения.
Задача №5, Графики и формулы.
Задача №6, Прогрессии.
Задача №7, Упростить выражение.
Задача №8, Неравенства, системы неравенств.
Задача №9, Задания по геометрии.
Генератор вариантов ГИА 2014
ЕГЭ по математике
Много разных решений.
Онлайн тесты.
Видео уроки ЕГЭ по математике.
Генератор вариантов ЕГЭ 2014
Книги, справочники
Решение демо варианта ЕГЭ по математике 2014
Задания B1, задача.
Задания B2, диаграммы.
Задания B5, уравнения.
Задания B8, производная.
Задания B10, вероятность.
ОГЭ по информатике
Видео уроки
Copyright © 2017 vpr-klass.com | Если какой-либо из материалов нарушает ваши авторские права, просим немедленно связаться с Администрацией!!! Наш e-mail: admin@vpr-klass.com |
Правообладателям
|
sitemap.xml