Образовательный сайт vpr-klass.com (впр-класс.ком) - готовые решения задач!
У нас вы найдете много учебных материалов: решебники, ГДЗ, тестовые задания, видео уроки, генераторы задач, решения упражнений гиа и егэ.
впр-класс.ком

Расскажи друзьям

Ищи САЙТ в Яндексе и Google по слову:
vpr-klass или впр-класс


Сохрани сайт в закладки - нажми Ctrl+D

25-05-2013, 14:56

Решение реального варианта 2013 года №1302


Версия для печати


__________________________________
Решение заданий из реального варианта ГИА по математике 2013 года.

В первом задании варианта ГИА мы считаем знаменатель, а потом для удобства сдвигаем запятую на одну позицию вправо, сокращаем 27 и 18 на 9 - получаем 3/2=1,5.

Во 2-ом задании ГИА отмечаем примерные числа на координатной прямой, затем подставляем вместо букв a и с. Первый вариант ответа нам подойдет, т.к. -4,6 не может быть больше нуля.

В третьем задании модуля Алгебра, заносим под квадратный корень все числа, а затем сравнивая числа под корнем, располагаем их в порядке возрастания, т.е. от меньшего к большему.

Четветрое задание - обычное квадратное уравнение, которое решаем по дискриминанту, находим 2 корня 3 и -5.

В 5-ом задании по математике мы устанавливаем соответствие между графиками функций и формулами, которые их задают. Обратите внимание на обведенные красным цветом x, запомните данные случаи.

В следующем задании мы находим второй член арифметической прогрессии (т.к. 1-ый уже известен), чтобы найти разность d, равная -3. Затем по формуле находим десятый член прогрессии = 22.

В 7-ом задании реального варианта ГИА 2013 года - мы упрощаем буквенное выражение, используя формулу квадрата разности, а затем подставляем вместо буквы a число -1/3. Получим в ответе -15.

В восьмом задании ГИА решаем сокращенное квадратное неравенство. Сразу убираем 3 и 4 варианты ответов, т.к. там знак +. А нам нужна разность квадратов, т.е. 1 или 2 варианты ответов. Второй ответ нам подойдет, т.к. неравенство со знаком < заштриховывает промежуток со знаком минус.

В 9 задании ГИА реального варианта по модулю Геометрия мы смотрим на накрест лежащие углы, равные по 20 градусов. Отсюда угол C будет 120, следовательно т.к. трапеция равнобедренная, то и искомый угол B=120 градусов.

В десятом задании ГИА 2013 мы сразу видим, что треугольник равнобедренный, т.к. 2 стороны равны (радиусы окружности), следовательно, углы A и B равны между собой, т.е. (180-60)/2=60. Отсюда, т.к. все углы по 60 градусов, то треугольник будет равносторонним, следовательно, хорда = 7.

В 11 задаче по геометрии находим площадь параллелограмма по формуле: основание умножаем на высоту h, получим 28.

В 12 задаче ГИА из реального варианта, нужно найти тангенс острого угла, т.е. противолежащий катет делим на прилежащий, получим 3/2 или 1,5.

В 13 задании ГИА 2013 года: 1-ое утверждение верно, т.к. треугольники будут подобны даже если 2 угла одного будут равны 2-ум другого. Второе - тоже верно, т.к. по теореме сумма смежных углов всегда равна 180 градусов. Третье утверждение неверно, т.к. не любая медиана, а медиана, проведенная к основанию равнобедренного треугольника будет являться биссектрисой.

В следующем задании ГИА по модулю "Реальная математика", сразу убираем 2-ой и 4-ый номера поездов, т.к. прибавив полчаса к времени прибытия, пассажир уже опоздает на встречу. Выбираем между 1-ым и 3-им номерами, видно что в 3-ем - время выезда позже (в 1.00), чем во втором (в 00.43). Ответ: 3)
15 задание из реальной математики очень простое - смотрим на график зависимости - день среда, находим самое наименьшее значение давления, оно равно 753.

В задании ГИА номер 16 - мы решим задачу на проценты. Вначале посчитаем скидку 10% - это 8 рублей. Следовательно, стоимость тарелки будет 80-8=72 рубля, 10 тарелок = 720 рублей. Тогда сдача составит 1000-720=280 рублей.

В этом задании ГИА по математике из реального варианта 2013 года - мы проведем параллельную прямую, получим прямоугольный треугольник. По теореме Пифагора найдем его гипотенузу, в ответе получим 13.

В задании №18 дана круговая диаграмма - смотрим на нее внимательно и выбираем неверные утверждения. В данном случае лишь первый вариант ответа будет неверным, т.к. если мы разделим диаграмму пополам, то увидим что пользователей из России никак не меньше 4 миллионов человек.

В 19-ом задании ГИА по математике 2013 по формуле нахождения вероятности, найдем P=0,45.

В 20 задании из реальной математики - просто подставим в формулу число 10 вместо времени t и посчитаем, получим 205.

Решим 21 задание из второй части ГИА 2013 года - здесь представлена система уравнений. Вначале преобразуем 2-ое уравнение, избавимся от знаменателей, домножив обе части на 15. После сокращений, останется 5x+3y=12. Затем решим систему методом сложения/вычитания, домножив первое уравнени на 3. Сложим 1-ое и 2-ое уравнения, получится: 14x=42, т.е. x=3. Подставив число 3 в любое из уравнений, найдем что y=-1.

22 задание из второй части ГИА 2013 - это текстовая задача на скорость, время и путь. Здесь мы воспользуемся формулой времени t, выразив ее через путь 24 км, деленный на скорость лодки по течению и против течения реки. Получим уравнение, решив которое найдем скорость течения x=2 км/ч.

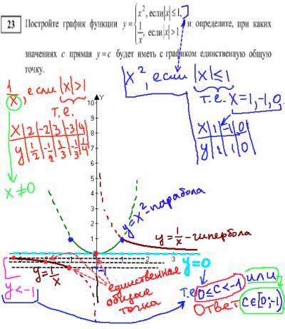
В задании ГИА под номером 23 нужно построить графики функций: параболу y=x? при  |x|?1 (т.е. x должен быть по модулю меньше или равен единице, например, 1;-1;0,9;-0,9; 0,8; -0,8; и т.д.) и гиперболу y=1/x при x>1. Составляем таблицы и по найденным точкам чертим график. Затем смотрим на рисунок и чертим прямые, которые при пресечении с графиком дают одну общую точку (отметил их красным цветом). Получается много прямых горизонтальных линий, т.е. y=0; y=-0,1; y=-0,2 и т.д. до y=-0,999... вообщем ответ: 0 ? c <-1.

В 24 задании ГИА 2013 из 2 части по модулю Геометрия, мы должны найти угол. Для этого проведем в окружности радиус OA, который всегда будет перпендикулярен касательной AC (по теореме). Т.е. получим прямоугольный треугольник AOC , где угол A=90 градусов. Затем рассмотрим центральный угол DOA, который будет равен дуге в 110 градусов (по теореме). Отсюда смежный угол AOC=180?-110?=70?. Рассматривая треугольник AOC, найдем ?C=180?-90?-70?=20?.






ПОХОЖИЕ УЧЕБНЫЕ МАТЕРИАЛЫ:

  • Арифметическая и геометрическая прогрессии, задачи
  • Решение демонстрационного варианта ЕГЭ по математике 2014
  • Пробный вариант ГИА от ФИПИ - модуль Геометрия.
  • Пробный вариант ГИА от ФИПИ, модуль Алгебра.
  • Решение варианта КДР №1 за май 2012 год (УМК №2).
  • Решения редких заданий ГИА за 9 класс.
  • Решение заданий за 9 класс из варианта ГИА.
  • Решение реального варианта гиа 2012 года.
  • Решение реального варианта ГИА 2013 - номер № 1317.
  • Решение демонстрационного варианта ЕГЭ 2013 по математике.
  • Категория: Учебные материалы, Задания ГИА ОГЭ по математике 2017 - решение, подг | Просмотров: 61797 | Добавил: dimention | Теги:

    

    Оставь свой комментарий!
    
    Учебники смотреть онлайн

    Математика
    Информатика
    Химия
    Copyright © 2017 vpr-klass.com | Если какой-либо из материалов нарушает ваши авторские права, просим немедленно связаться с Администрацией!!! Наш e-mail: admin@vpr-klass.com | Правообладателям | sitemap.xml