Образовательный сайт vpr-klass.com (впр-класс.ком) - готовые решения задач!
У нас вы найдете много учебных материалов: решебники, ГДЗ, тестовые задания, видео уроки, генераторы задач, решения упражнений гиа и егэ.
впр-класс.ком

Расскажи друзьям

Ищи САЙТ в Яндексе и Google по слову:
vpr-klass или впр-класс


Сохрани сайт в закладки - нажми Ctrl+D

5-11-2012, 15:43

Подготовка к ГИА по математике 2013 - решение демонстрационного варианта:модуль Алгебра.


Версия для печати

Пройдите подготовку к ГИА по математике 2013 вместе с нашими решениями в картинках. В первом задании ГИА по математике из модуля Алгебра нужно найти значение выражения. Сперва возводим в степень, а затем сокращаем дробь, далее вычисляем.

Во 2-ом задании из демоварианта ГИА по математике 2013 нужно определить наибольшее число на координатном луче, используя буквенные выражения. Принимаем за числа буквы a и b, подставляем в выражения и вычисляем.

В следующем задании демоверсии гиа по математике 2013, мы должны найти рациональное число, т.е. число имеющее конечное значение. Здесь также необходимо вспомнить свойства квадратных корней.


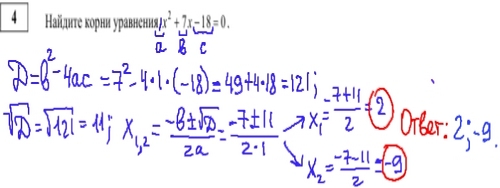
4-ое задание по математике из демоварианта ГИА 2013 очень простое - нужно решить квадратное уравнение по дискриминанту, или найти корни уравнения. Главное здесь - знать формулы!

Пятое задание по математике для 9 класса - на соответствие графиков функций и формулами, здесь нужно знать основные формулы графиков функций, и некоторые их свойства.

В следующем задании необходимо знать свойства квадратичной функции - параболы, т.е. как находить промежутки возрастания и убывания графика, наибольшее и наименьшее значения функции, значения функции при аргументе x.

В 7 задании демоварианта ГИА по математике 2013 мы находим сумму первых 10 членов арифметической прогресии, используя 2 способа.

В задании 8 демонстрационного варианта ГИА по математике 2013 требуется упростить буквенное выражение, а затем найти его значение, для этого нужно знать формулы сокращенного умножения, в частности, формулу квадрата разности.


В задании ГИА номер №9, мы должны решить систему неравенств.

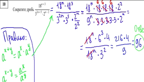
Следующее задание принадлежит второй части ГИА по математике из модуля Алгебра. В нем нужно сократить дробь, используя свойства степеней.


Решения других заданий из 2-ой части ГИА по математике не будут рассматриваться, т.к. в демонстрационном варианте они уже решены.

Также Вы можете посмотреть статьи с решениями заданий из демонстрационного варианта ГИА по математике 2013 - по модулям Геометрия и Реальная математика.

Скачать сам демонстрационный вариант по математике 2013 можно ОТСЮДА.

Скачайте ТЕСТ по математике: Демо вариант ГИА 2013, модуль Алгебра.

Пройти тест онлайн! (new)





ПОХОЖИЕ УЧЕБНЫЕ МАТЕРИАЛЫ:

  • Пробный вариант ГИА от ФИПИ, модуль Алгебра.
  • Решение реального варианта гиа 2012 года.
  • Разбор ЕГЭ по математике,задача B7 - Найти значение выражения.
  • Модуль Алгебра: Координаты точки пересечения графиков.
  • Упростите выражение - модуль Алгебра.
  • Упрощение выражения - Модуль Алгебра.
  • Решение демо варианта ГИА по математике 2013: Модуль Реальная математика.
  • Модуль Геометрия: задачи за 9 класс.
  • Решение демонстрационного варианта ЕГЭ 2013 по математике.
  • Решение задания №1 ГИА по математике - найти значение выражения.
  • Категория: Учебные материалы, Подготовка к ГИА ОГЭ по математике 2017 | Просмотров: 38399 | Добавил: dimention | Теги:

    

    Оставь свой комментарий!
    
    Учебники смотреть онлайн

    Математика
    Информатика
    Химия
    Copyright © 2017 vpr-klass.com | Если какой-либо из материалов нарушает ваши авторские права, просим немедленно связаться с Администрацией!!! Наш e-mail: admin@vpr-klass.com | Правообладателям | sitemap.xml