Образовательный сайт vpr-klass.com (впр-класс.ком) - готовые решения задач!
У нас вы найдете много учебных материалов: решебники, ГДЗ, тестовые задания, видео уроки, генераторы задач, решения упражнений гиа и егэ.
впр-класс.ком

Расскажи друзьям

Ищи САЙТ в Яндексе и Google по слову:
vpr-klass или впр-класс


Сохрани сайт в закладки - нажми Ctrl+D

23-08-2013, 17:25

Онлайн тест егэ по математике - демо вариант 2014


Версия для печати

Онлайн тест егэ по математике - задания демо варианта 2014 года.

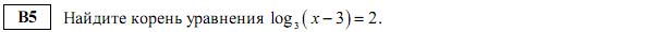
В данном тесте содержится 14 заданий из 1-ой части демо варианта ЕГЭ по математике. На все задания можно посмотреть ответы и решения. Также сверху выводится ваш результат по верным и неверным ответам.


Выберите верный вариант ответа!

 




ПОХОЖИЕ УЧЕБНЫЕ МАТЕРИАЛЫ:

  • Подготовка к ЕГЭ по математике 2014 - онлайн тест
  • Онлайн тест гиа по математике 2014 - модуль алгебра
  • Онлайн тест гиа 2014 - реальная математика
  • Онлайн тест гиа по математике 2014 - модуль геометрия
  • Онлайн тест по математике за 5 класс - прямая, луч, уравнения
  • Математика ЕГЭ 2014 - онлайн тест за 11 класс
  • Математика егэ 2014 - онлайн тест с решением заданий
  • Математика егэ 2014 - пройти онлайн тест
  • Онлайн тест егэ по математике 2014
  • Математике егэ 2014 - онлайн тест №1
  • Категория: Учебные материалы, Тесты ЕГЭ по математике 2017, 11 класс - онлайн | Просмотров: 16481 | Добавил: dimention | Теги:

    

    Оставь свой комментарий!
    
    Учебники смотреть онлайн

    Математика
    Информатика
    Химия
    Copyright © 2017 vpr-klass.com | Если какой-либо из материалов нарушает ваши авторские права, просим немедленно связаться с Администрацией!!! Наш e-mail: admin@vpr-klass.com | Правообладателям | sitemap.xml