Образовательный сайт vpr-klass.com (впр-класс.ком) - готовые решения задач!
У нас вы найдете много учебных материалов: решебники, ГДЗ, тестовые задания, видео уроки, генераторы задач, решения упражнений гиа и егэ.
впр-класс.ком

Расскажи друзьям

Ищи САЙТ в Яндексе и Google по слову:
vpr-klass или впр-класс


Сохрани сайт в закладки - нажми Ctrl+D

20-03-2014, 19:46

ЕГЭ по математике b13


Версия для печати

ЕГЭ по математике b13.

Решение задачи егэ b13.
ЕГЭ по математике - решение b13

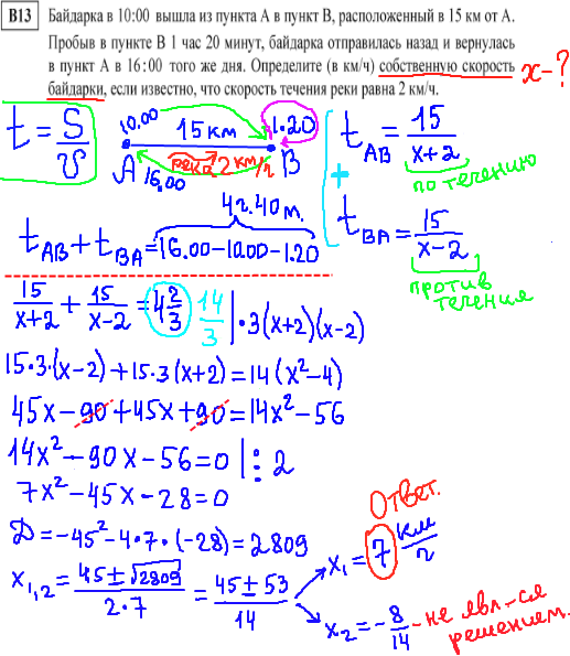
Задание под номером b13 по математике берётся из КИМов ЕГЭ, которые писали в 2013 году - в Центре. В текстовой задаче выразим через формулу t=S/V - время байдарки по течению реки tAB=15/(x+2) и время против течения реки tBA=15/(x-2). Сложим всё время и получим 15/(x+2)+15/(x-2)=4ч.40мин.=14/3 часа. Решим данное уравнение, умножим его на общий знаменатель 3(x+2)(x-2), получим: 15*3(x-2)+15*3(x+2)=14(x2-4). Упрощая линейное уравнение, получим квадратное: 14x2-90x-56=0 - решим по дискриминанту, получим корни x2=-8/14 - не является решением, x1=7 (км/ч). Ответ: 7.


Скачать решение.



Категория: Учебные материалы, ЕГЭ по математике 2017 - решение заданий, подготов | Просмотров: 7365 | Добавил: dimention | Теги:



Оставь свой комментарий!

Учебники смотреть онлайн

Математика
Информатика
Химия
Copyright © 2017 vpr-klass.com | Если какой-либо из материалов нарушает ваши авторские права, просим немедленно связаться с Администрацией!!! Наш e-mail: admin@vpr-klass.com | Правообладателям | sitemap.xml